



Basic models for proof of concept; Advanced models for translatability into the clinic
Significantly shorter induction period, 12-16 weeks before compound dosing
Clinically relevant models closely mimics human MASH/NASH disease condition: dysmetabolic syndromes, inflammation, hepatosteatosis & fibrosis
Higher and more robust fibrosis score than the current diet-induced MASH/NASH mouse & hamster models
Pharmacologic responses of reference compounds like OCA, Semaglutide & GTF505 match responses of clinical trials
The body weight, liver weight and triglycerides significantly increased in modified HFD induced mice
Glucose and insulin levels also increased in MASH/NASH mice



Basic models for proof of concept; Advanced models for translatability into the clinic
Insulin
Glucose
Cholesterol
Triglyceride
FFA
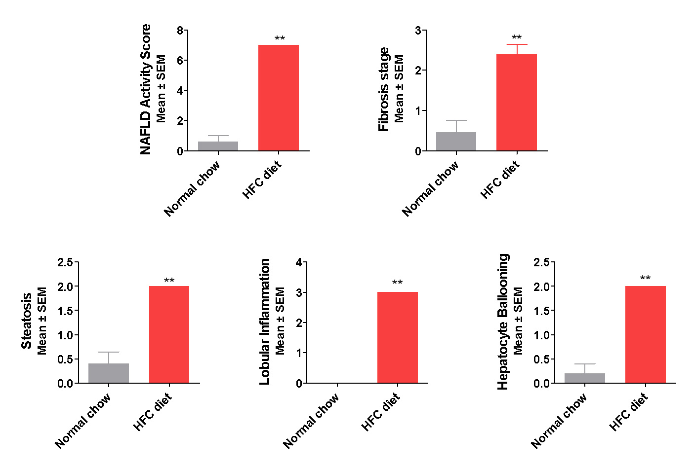
Histopathology: increased steatosis, ballooning, inflammation, Mallory body and Fibrosis
The phenotype is consistent with human metabolic syndrome/MASH/NASH-Fibrosis



Reduced liver enzymes
Reduced Cholesterol
Lowered BW
Reduced Liver TG
Lowered the NAS score and (modestly) fibrosis stage






Closely mimic the human MASH/NASH disease condition: dysmetabolic syndromes, inflammation, hepatosteatosis, and fibrosis score
Short induction period, 8 – 12 weeks
Higher and more robust fibrosis score than the current diet-induced MASH/NASH models


Significantly higher liver weight live to body weight ratio, ALT in HC +fructose fed Hamster






It is very difficult to replicate the liver inflammation and other unique characteristics of MASH in animal studies. This is because MASH is characterized in part by fatty liver deposits and can be caused by lifestyle factors like poor diet and other underlying health conditions. Because animals have different DNA from humans, these conditions are not always possible to replicate exactly.
Our most innovative MASH (NASH) models include an obesogenic dietary mouse model and an obesogenic dietary hamster model. We also offer more common MASH models including nutrient-deficit models, chemically-induced models, genetic models, and more.
Our animal models are able to replicate many key characteristics of human disease, including dysmetabolic syndromes, hepatic steatosis, inflammation, and fibrosis very closely through in vivo tests. This allows clients to test potential therapeutic modalities with relative accuracy.
Our MASH models are notable due to their short induction periods and ability to replicate human liver conditions accurately. Our induction periods are just a fraction of the length of our competitors', and they also result in higher fibrosis scores for greater accuracy.
Validation studies conducted with our MASH models using OCA, semaglutide, and GFT505. Both OCA and semaglutide resulted in reduced liver enzymes, reduced cholesterol, lowered body weight, liver triglycerides, and a lowered NAS score.
Our MASH models have induction periods of just 8 to 16 weeks. This is much shorter than many other MASH models, which take up to 52 weeks.
To access our MASH models, prospective clients can reach out to us directly to learn more about our drug discovery services. Our team will work closely with you to learn more about your research needs and goals to develop either in vivo or in vitro studies.
Preclinical Models for MASH Disease