


Beijing, March 24, 2018 – It is well understood that nucleotides, as monomers of DNA and RNA, play an important role in all life forms. Nucleotides also play a central role in metabolism at a cellular level as they carry chemical energy in the form of the nucleoside triphosphates (ATP, GTP, CTP, and UTP) through the cells to supply energy for important cellular functions. In addition, nucleotides participate in cell signaling (e.g., cGMP) and are incorporated into important cofactors of enzymatic reactions (such as in coenzyme A).
Nucleotides are comprised of a nitrogen-containing base, a five-carbon sugar, and at least one phosphate group. Nucleotides are derived from nucleosides which are lacking the phosphate groups. Nucleosides and their analogs are of great interest for medicinal chemists for example as antiviral agents or anticancer agents with Sofosbuvir and Gemcitabine as the well-known examples.
The scheme below shows Deoxyadenosine monophosphate (dAMP) as an example for the general structure of a nucleotide:

We have worked on many nucleoside analog projects over the past 10+ years at BioDuro and have gained considerable experience in their – often lengthy and complex – synthesis. Recently, as part of our continuous efforts to expand our capabilities and service offerings, we have added more expertise especially in the area of nucleotide synthesis and purification.
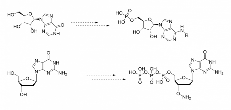
To further enhance our capabilities in this field, we have allocated analytical and preparative HPLCs equipped with special columns (C18 column, Dionex BioLC DNAPac PA-100 column and GE Healthcare HiPrep DEAE column, etc.) for this purpose. With this expertise and equipment in place, BioDuro now can offer a wide range of nucleoside/nucleotide chemistry, such as nucleoside modification and phosphorylation (from mono-phosphate up to tetra-phosphates) to synthesize and purify nucleotides and short oligonucleotides. Some illustrative schemes are shown below:

For more information on nucleoside and nucleotide chemistry, please contact us.